|
|
|
|
|
|
| Illustration 1 | g00772461 |
|
|
|
|
|
|
| Illustration 2 | g00825147 |
“Warning Engine Oil Pressure Is Low for 312C Through 322C”
|
|
|
|
|
|
| Illustration 3 | g00692686 |
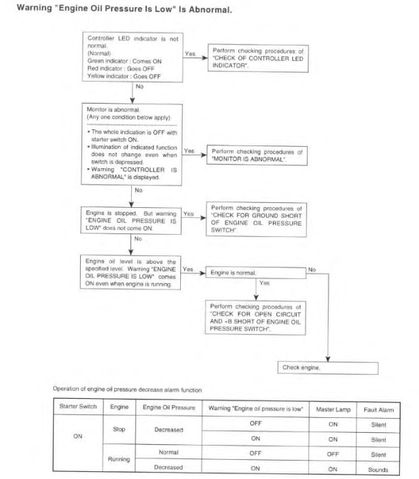
Warning Engine Oil Pressure Is Low for 321C
|
|
|
|
|
|
| Illustration 4 | g00987491 |
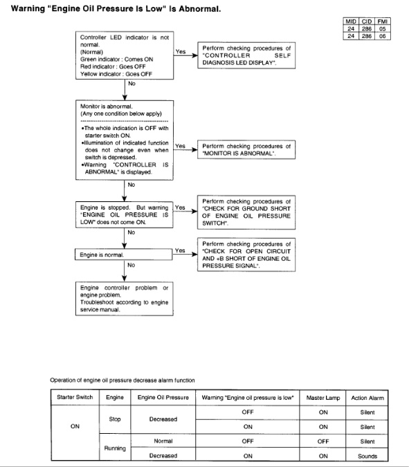
“Warning Engine Oil Pressure Is Low for 325C and M325C MH”
|
|
|
|
|
|
| Illustration 5 | g00825163 |
Warning Engine Oil Pressure Is Low for 330C
|
|
|
|
|
|
| Illustration 6 | g01059588 |
Check For Ground Short Of Engine Oil Pressure Switch
|
|
|
|
|
|
| Illustration 7 | g01007924 |
Check For Open Circuit And Check for +Battery Short Of Engine Oil Pressure Signal
|
|
|
|
|
|
| Illustration 8 | g00825177 |
|
|
|
|
|
|
| Illustration 9 | g00987509 |
|
Diagram for 321C |
|
“Check For Ground Short Of Engine Oil Pressure Signal”
|
|
|
|
|
|
| Illustration 10 | g00825185 |









