312C, 315C, 318C, 319C, 320C, 321C, 322C, 325C, 330C and M325C Excavators and 325C MHPU and 330C MHPU Mobile Hydraulic Power Units Engine and Pump Control – V2 – Travel Alarm Is Abnormal – Troubleshoot – CID 376

“Travel Alarm Is Abnormal” for 312C and 315C



Illustration 1 g00778600

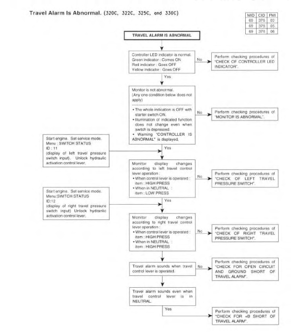
“Travel Alarm Is Abnormal” for 318C, 319C, 320C, 321C, 322C, 325C and 330C



Illustration 2 g00906541

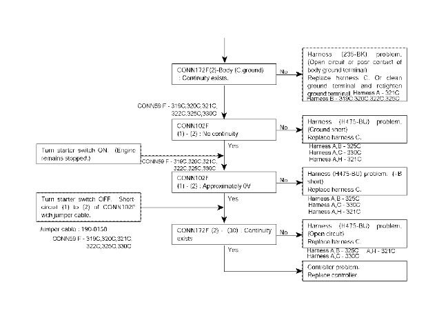
“Check Of (Left) Travel Pressure Switch”



Illustration 3 g01009495



Illustration 4 g01091049

Schematic Of The Travel Pressure Switch For 312C



Illustration 5 g00778601

Schematic Of The Travel Pressure Switch For 315C



Illustration 6 g00778602

Schematic Of The Travel Pressure Switch For 318C



Illustration 7 g01009485

Schematic Of The Left Travel Pressure Switch For 319C And 320C Series



Illustration 8 g00691456

Schematic Of The Left Travel Pressure Switch For 321C Series



Illustration 9 g00988604

Schematic Of The Left Travel Pressure Switch For 322C, 325C, and 330C



Illustration 10 g00778603