|
|
|
|
|
|
| Illustration 1 | g00693214 |
“Warning “Return Filter Is Clogged” Is Abnormal” ( 312C And 315C)
|
|
|
|
|
|
| Illustration 2 | g00778242 |
“Warning “Return Filter Is Clogged” Is Abnormal” ( 318C, 319C, 320C, 321C, 322C, 325C, and 330C)
|
|
|
|
|
|
| Illustration 3 | g00693222 |
|
Diagram for 318C, 319C, 320C series, 321C, 322C, 325C, M325C MH, and 330C |
|
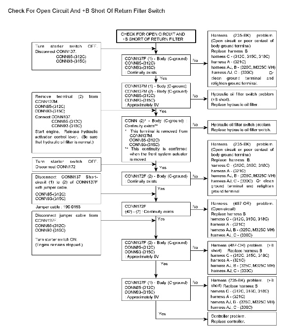
“Check For Open Circuit And +B Short Of Return Filter Switch”
|
|
|
|
|
|
| Illustration 4 | g01060315 |
“Check For Open Ground Short Of Return Filter Switch”
|
|
|
|
|
|
| Illustration 5 | g01008689 |
Schematic Of The Return Filter Switch ( 312C)
|
|
|
|
|
|
| Illustration 6 | g00777111 |
Schematic Of The Return Filter Switch ( 315C)
|
|
|
|
|
|
| Illustration 7 | g00777112 |
Schematic Of The Return Filter Switch ( 319C, 320C, 320C LRR, and 322C)
|
|
|
|
|
|
| Illustration 8 | g00693243 |
Schematic Of The Return Filter Switch ( 318C)
|
|
|
|
|
|
| Illustration 9 | g01008681 |
Schematic Of The Return Filter Switch ( 321C)
|
|
|
|
|
|
| Illustration 10 | g00987691 |









