|
|
|
|
|
|
| Illustration 1 | g00693146 |
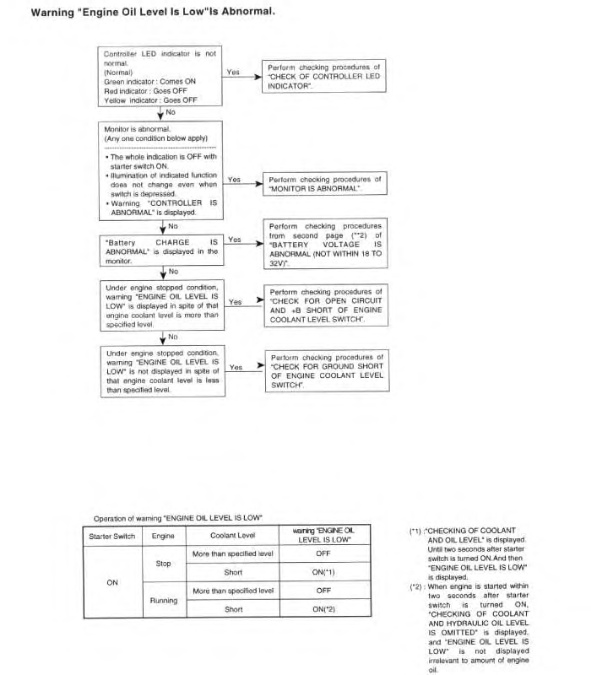
“Warning “Engine Oil Level Is Low” Is Abnormal”
|
|
|
|
|
|
| Illustration 2 | g00693149 |
“Check For Open Circuit And +B Short Of Engine Oil Level Switch” ( 312C And 315C)
|
|
|
|
|
|
| Illustration 3 | g00777878 |
|
Diagram for 312C and 315C |
|
“Check For Open Circuit And +B Short Of Engine Oil Level Switch” ( 319C, 320C And 322C)
|
|
|
|
|
|
| Illustration 4 | g00772478 |
|
Diagram for 319C, 320C and 322C |
|
“Check For Open Circuit And +B Short Of Engine Oil Level Switch” ( 321C)
|
|
|
|
|
|
| Illustration 5 | g00987664 |
|
Diagram for 321C |
|
“Check For Open Circuit And +B Short Of Engine Oil Level Switch” ( 318C, 325C, M325C MH, and 330C)
|
|
|
|
|
|
| Illustration 6 | g00823529 |
Schematic Of The Engine Oil Level Switch ( 312C)
|
|
|
|
|
|
| Illustration 7 | g00777110 |
Schematic Of The Engine Oil Level Switch ( 315C)
|
|
|
|
|
|
| Illustration 8 | g00778240 |
Schematic Of The Engine Oil Level Switch ( 319C, 320C, 320C LRR, 325C, M325C MH, and 330C)
|
|
|
|
|
|
| Illustration 9 | g00693176 |
Schematic Of The Engine Oil Level Switch ( 318C)
|
|
|
|
|
|
| Illustration 10 | g01008523 |









