312C, 315C, 318C, 319C, 320C, 321C, 322C, 325C, 330C and M325C Excavators and 325C MHPU and 330C MHPU Mobile Hydraulic Power Units Engine and Pump Control – V2 – AEC Is Abnormal – Troubleshoot



Illustration 1 g00773039



Illustration 2 g00988273

Diagram for 321C



Illustration 3 g01058830



Illustration 4 g00840820

Check Of AEC Circuit



Illustration 5 g00988283

Diagram for 321C

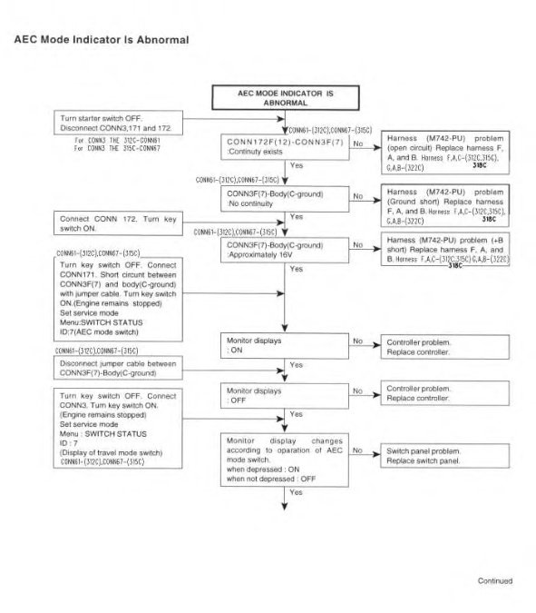
“AEC Mode Indicator Is Abnormal”



Illustration 6 g00880515



Illustration 7 g00880521

Schematic Of The Panel For The AEC Mode Switch ( 312C)



Illustration 8 g00778588

Schematic Of The Panel For The AEC Mode Switch ( 315C)



Illustration 9 g00778589

Schematic Of The Panel For The AEC Mode Switch ( 319C And 320C)



Illustration 10 g00690830